Sintesi dei risultati clinici

Valutazione del beneficio dell'idroterapia con l'Acqua Termale Avène sul prurito cronico in adulti con psoriasi a placche, sotto controllo dermatologico
Studio comparativo multicentrico rispetto al gruppo di controllo (solo trattamenti convenzionali)
Popolazione
44 soggetti adulti di età compresa tra i 29 e gli 80 anni con prurito cronico da moderato a grave correlato alla psoriasi a placche, e in trattamento sistemico e/o topico stabile.
Applicazione di L'Eau Thermale Avène
Protocollo idroterapico per 3 settimane, poi 6 mesi di follow-up
Criteri di valutazione
- Intensità del prurito (punteggio NRS da 0 a 10)
- Impatto sulla qualità di vita dei soggetti (punteggio ItchyQoL)
Risultati
- Miglioramento altamente significativo dell'intensità media del prurito nei 3 giorni precedenti (NRS) per il gruppo idroterapia alla fine della fase idroterapica (-50%, p<0,001) e per tutto il periodo di follow-up (-53% a V3/3 mesi, -48% a V4/6 mesi, p<0,001)
- Differenza significativa rispetto al gruppo di controllo a tutte le visite (p<0,001 a V2 e V3, p<0,05 a V4)

Cambiamento del punteggio del prurito nei 3 giorni precedenti (NRS)
durante la fase di idroterapia e la fase di follow-up
* p= Statisticamente significativo (p<0,05, versus V1)
** p= statisticamente altamente significativo (p<0,001, versus V1)
* p= statisticamente significativo (p<0,05, analisi intergruppo)
** p= statisticamente altamente significativo (p<0,001, analisi intergruppo)
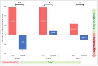
- Miglioramento significativo dell'intensità del prurito rispetto all'inclusione (vDPS) nel gruppo idroterapia alla fine della fase idroterapica (+58%, p<0,001) e durante tutto il periodo di follow-up (+58% a V3/3 mesi, p<0,001 ; +24% a V4/6 mesi, p<0,05). Peggioramento nel gruppo di controllo a tutte le visite
- Differenza significativa rispetto al gruppo di controllo a tutte le visite (p<0,001 a V2, p<0,05 a V3/3 mesi e V4/6 mesi)

Evoluzione dell'intensità del prurito rispetto all'inclusione (vDPL)
durante la fase di idroterapia e di follow-up
* p= Statisticamente significativo (p<0,05, versus V1)
** p= statisticamente altamente significativo (p<0.001, versus V1)
* p= statisticamente significativo (p<0.05, analisi intergruppo)
** p= statisticamente altamente significativo (p<0,001,
- Miglioramento altamente significativo della qualità di vita (ItchyQoL) nel gruppo idroterapia alla fine della fase idroterapica (-36%, p<0,001) e durante tutto il periodo di follow-up (-33% a V3/3 mesi, -27% a V4/6 mesi, p<0,001)
- Differenza significativa rispetto al gruppo di controllo in tutte le visite (p<0,05)

Cambiamenti nel punteggio della qualità di vita (ItchyQoL)
durante la fase di idroterapia e la fase di follow-up
* p= Statisticamente significativo (p<0,05, versus V1)
** p= statisticamente altamente significativo (p<0,001, contro V1)
* p= statisticamente significativo (p<0,05, analisi intergruppo)
Conclusione
L'idroterapia con acqua termale Avene fornisce un beneficio a lungo termine come cura complementare nella gestione del prurito da moderato a grave associato alla psoriasi a placche.
Volete continuare a leggere?
Questo accesso è riservato ai professionisti, registrati su Pierre Fabre For Med.
Per accedere al contenuto completo, si prega di registrarsi o di effettuare il login se si dispone già di un account.